一、收益法(收益折现基础法)

(一)收益法概述

收益法是通过将被评估企业预期收益资本化或折现来确定被评估企业价值。收益法是目前较成成熟、使用较多的估值技术,主要包括现金流量折现法、经济增加值折现法、调整现值法、期权定价法等方法。

(1)收益法估值的基本原理

收益法估值的理论基础在于:假设价值来源于未来流入的现金流,将这一笔笔的现金流分别以一定比率折回到当前,再进行加总就得到了相应价值。如果这些现金流是属于所有出资人的,折现加总得到的就是企业价值;如果现金流只是属于股权出资人的,折现加总得到的就是股权价值。如图7-2所示。

图7-2 收益法估值的基本原理

收益法估值原理下,价值的计算公式为:

其中,V为总价值;t为时期;CFt为第t期的现金流;t为能够反映当期现金流不确定性的折现率。由于在实务中通常用一个折现率代表所有时期的折现率,因此,上式可以简化为:

其中,V为总价值;t为时期;CFt为第t期的现金流;为未来所有时期的平均折现率。

(2)收益法估值的一般形式

在使用折现现金流法对公司进行价值评估时(无论是企业价值或股权价值),一般都要预测所估值公司未来几年的财务状况,从而尽量准确地估算出每一年的现金流。为提高预测的准确性,在实际使用时都会设定一个预测期,在预测期内详细地预测公司各方面的财务状况。对于在预测期之后公司公司运行产业的价值,即终值,可以采用Gordon永续增长模型和终值倍数法来进行估算。

目前,两阶段模型是收益法估值中较为常见的类型,它把预测时间分为两个阶段。第一个阶段称为详细预测期,此期间通过对公司收入和成本、资产与负债等项目的详细预测,得出每一时间段的现金流。第二阶段称为终值期,这段时期的现金流在详细预测期最后一年的价值称为终值(Terminal Value,TV)。如图7-3所示。

图7-3 详细预测期与终值期

在两阶段预测模型中,价值的计算公式为:

其中,V为总价值;CFt为第t期的现金流;为未来所有现金流的平均折旧率;n为预测基数;TV为终值。实务中,预测期期数可以不是整数,终值折现年份也可能不等于预测期期数。

对于终值的估计的两种方法,分别介绍如下:

第一,Gordon永续增长模型。

Gordon永续增长模型的原理是:假设公司在详细预测期之后,现金流以一个稳定的增长率永续增长,将终值期所有现金流折现到详细预测期最后一年并加总,即可得到终值价值。如图7-4所示。

图7-4 Gordon永续增长模型原理

其中,假设预测期共有n期,预测期最后一年现金流为CFn,永续增长率为g,折现率为,则有:

此时,价值的计算公式为

第二,终值倍数法。

终值倍数法的原理是:假设在详细预测期最后一期的期末将公司售出,售出时的价格即为终值,常用详细预测期最后一期的某一业绩指标的倍数来估算终值,即

TV详细预测期最后一期的某一指标该指标倍数

用终值倍数法估算终值实际上使用的是以相对价值为基础的评估方法,在实务中主要估计一个合适的倍数。如果是用红利折现或者股权自由现金流折现,则可用市盈率、市净率等估算终值;如果是用无杠杆自由现金流折现,则是将最后一年的营业利润或EBIT(息税前利润)或EBITDA(息税折旧摊销前利润)乘以适当的倍数,预估出其终值。

(3)收益法基本步骤

使用收益法计算股权价值时,一般包括六个步骤:

第一,分析历史绩效。

对企业历史绩效进行分析,了解企业的过去绩效情况,为后期的绩效预测提供一个参考基点,为预测未来的现金流量做准备。历史绩效分析主要是对企业过去的财务报表进行分析,明确企业发展的关键价值驱动因素。

第二,选择适用的估值模型。

由于实务中,估值参数选择的不同,可能会导致不完全相同的估值结果,并且不同的估值模型,往往适用的公司类型也不相同。因此,公司估值之前要选择合适的估值模型。

第三,确定预测期间,计算预测期内的现金流。

在预测企业未来的现金流量时,通常会人为确定一个预测期间,对预测期后的现金流量使用终值估算模型处理。这期间的长短取决于企业的行业背景、管理部门的政策、并购的环境等,通常为5~7年。预测未来的现金流时,注意不同的估值模型使用的现金流是不同的,如股权自由现金流折现模型使用的现金流是股权自由现金流,而无杠杆自由现金流折现模型使用的是无杠杆自由现金流。

第四,选择合适的折现率。

折现率是指将来预测期内的预期收益折算成现值的比率,有时也称资本成本率。不同的现金流种类,其折现率是不同的,如股权自由现金流折现使用的折现率为股权资本成本,而无杠杆自由现金流折现使用的折现率为加权平均资本成本(Weighted Average Cost of Capital,WACC)。

第五,预测终值(企业连续价值)。

第六,对预测期现金流及终值进行折现,加总得到未来所有期间的价值。若折现现金流对应的不是股权价值,需要调整至股权价值46。

(二)现金流量折现法

现金流是指一项投资或资产在未来不同时点所发生的现金流入与流出的数量,净现金流是现金流入量与现金流出量的差额。根据不同的评估思路,现金流主要分为两种:一种是股权自由现金流;另一种是无杠杆自由现金流。

1.股权自由现金流折现模型

(1)计算股权自由现金流

股权自由现金流量(Free Cash Flow of Equity,FCFE)是归属于股东的现金流量,是指公司经营活动产生的现金流量在扣除业务发展的投资需求和对其他资本提供者的分配之后能够分配给股东的现金流量,其计量公式为48:

FCFE=实体现金流量-债务现金流量

=营业现金毛流量-经营营运资本增加-(净经营性长期资产增加+折旧与摊销)-债务现金流量

=税后经营利润-净经营资产增加-(税后利息费用-净负债增加)

=税后经营利润-净经营资产增加-税后利息费用+净负债增加

(2)选择折现率——资本资产定价模型

资本资产定价模型(Capital Asset Pricing Model,CAPM),是由威廉·夏普、约翰·林特纳、莫辛一起创造发展的,旨在研究证券市场价格关系的模型。

CAPM是一个理论性很强的模型,CAPM假设,市场上所有的投资者对于风险和收益的评估仅限于对于收益变量的预期值和标准差的分析,而且所有投资者都是完全理智的。市场是完全公开的,所有投资者的信息和机会完全平等,任何人都可以以唯一的无风险利率无限制地贷款或借出。

资本资产定价模型主要表示某种证券或投资组合的收益率与系统风险报酬率之间的关系,即某种证券或投资组合的收益率分为两部分:无风险利率和系统风险的报酬率。当投资者承担更高的风险时,需要获得更多的预期收益来补偿,这部分补偿常称作风险溢价或风险贴水。CAPM模型用公式表示:

股票的预期收益率=无风险利率+市场风险溢价×能够反映公司系统风险状况的调整系统,即

式中::无风险收益率;

:市场的期望收益率;

:市场风险溢价;

:不可分散化的风险;

:投资者要求的预期收益率。

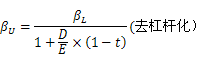
估计投资者要求的预期收益率涉及的参数项包括无风险收益率、市场风险溢价和值。无风险收益率()表示当风险为零时,投资者仍期望所能得到的补偿。通常选取适当的国债利率作为无风险利率,因为政府的信用等级是最高的。在价值评估实务中,经常使用10年期国债的当前收益率作为无风险利率。表示存在风险时给予的补偿,即风险溢价。对于新兴市场的风险溢价,通常用成熟市场的长期平均市场风险溢价加上新兴市场溢价(2%~5%)来估计新兴市场的市场风险溢价。是一种系统风险指数,这用于衡量市场的期望收益率对于无风险收益率变动的敏感度。它是公式中唯一与公司本身有关的参数,每个公司都有它自己的值。值不仅受到公司经营风险的影响,还受到财务风险(财务杠杆)因素的影响。在实务中,通常把包含了财务杠杆信息的值称为含杠杆的值,不含财务杠杆信息的值称为不含杠杆的值。由于不同公司的财务杠杆是不同的,因此经常需要在含杠杆的值和不含杠杆的值之间进行去杠杆化和再杠杆化调整49。公式为:

式中,,D表示负债的市场价值,E表示权益的市场价值,t表示所得税税率。

实务中,由于含杠杆的值受到公司财务杠杆的影响,财务杠杆带来的风险在可比公司之间一般不具有可比性,所以不能直接以可比公司含杠杆的值的平均值作为目标公司的参考值,而需要经一个去杠杆化和再杠杆化的过程,从而得到一个符合目标财务杠杆的值。方法如下:

①找到可比公司含杠杆的值。

②通过去杠杆化公式,卸载可比公司财务杠杆。

③计算可比公司不含杠杆的值的平均值,作为目标公司不含杠杆的值的参考值。

④通过再杠杆化公式,将计算的目标公司不含杠杆的值的参考值代入目标公司的杠杆,对目标进行加载财务杠杆,从而得到目标公司含杠杆的值51。

另外,值的估计还可以通过回归分析的方式得到,在此不过多赘述,有兴趣的读者可以阅读相关书籍材料。

(3)计算终值(TV)

对于股权自由现金流的终值的计算方法,可以采用Gordon永续增长模型和终值倍数法。以Gordon永续增长模型为例,在该模型的假设下,公司的股权自由现金流按照稳定的增长率(g)永续增长。此时,

式中,假设预测期共有n期,预测期最后一期股权自由现金流为,永续增长率为g,权益要求的回报率为

相关原理与方法,详见本章节“(一)收益法概述(2)收益法估值的一般形式”内容。

(4)计算股权价值

股权自由现金流折现模式就是对股权自由现金流进行折现以评估股权的价值。将未来的股权自由现金流分为详细预测期现金流和终值期现金流,则股权自由现金流折现模型的一般形式为:

以Gordon永续增长模型估算终值的股权价值公式为:

其中,为第t年的股权自由现金流;n为详细预测期的期数;g为永续增长率; 为权益的要求回报率,可以用资本资产定价模型(Capital Asset Pricing Model,CAPM)方法计算。

2.无杠杆自由现金流折现模型

无杠杆自由现金流(UFCF),又称公司自由现金流(Free Cash Flow of Firm,FCFF),是归属于公司股东和债权人的现金流量,是指公司经营活动产生的现金流量在扣除业务发展的投资需求后能够分配给资本提供者(股权和债权出资人)的现金流量,它等于企业的税后净营业利润,即将公司不包括利息收支的营业利润扣除所得税税金之后的数额加上折旧及摊销等非现金支出,再减去营运资本的增加额和厂房设备及其他方面的资本支出。

(1)计算无杠杆自由现金流

自由现金流量(FCFF)=(税后净营业利润+折旧及摊销)-(资本支出+营运资本增加)

需要注意的是,利息费用属于债权人的自由现金流量,在计算企业自由现金流量时不能扣除。

税后净营业利润=息税前利润(EBIT)(1-所得税税率)

①息税前利润(EBIT)

息税前利润(EBIT)=主营业务收入-主营业务成本(1-折扣和折让)-税金及附加-管理费用-销售费用

②折旧及摊销

折旧及摊销不是当期的现金支出,却从当期的收入中作为费用扣除,因此看作一种现金的来源。

③资本支出

资本支出,是指企业为维持正常生产经营或扩大生产经营规模而在物业、厂房、设备等资产方面的再投入。

④营运资本增加

营运资本等于流动资产与流动负债的差额,营运资本的变化反映了库存、应收/应付项目的增减。由于库存、应收款项的增加而占有资本不能用作其他用途,所以营运资本的变化会影响企业的现金流量。

(2)选择并计算折现率——加权平均资本成本

由于公司自由现金流是归属于公司股东和债权人的现金流量,一般采用加权平均资本成本作为选择的折现率。

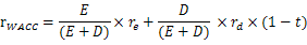
加权平均资本成本(Weighted Average Cost of Capital,WACC),是指企业以各种资本在企业全部资本中所占的比重为权数,对各种长期资金的资本成本加权平均计算出来的资本总成本。

根据加权平均资本成本模型,由于并购企业用于投资被并购企业的资本一般既有自有资本也有负债,所以这种投资的资本成本是两者的加权平均,用公式表示为:

式中,为企业的加权平均资本成本;D为企业负债的市场价值;E为企业权益的市场价值;为股权资本成本;为税前债务成本;t为所得税税率。其中,可采用上文的资本资产定价模型(CAPM)来计算。

(3)计算终值(TV)

对于无杠杆自由现金流的终值的计算方法,可以采用Gordon永续增长模型和终值倍数法。以Gordon永续增长模型为例,在该模型的假设下,公司的无杠杆自由现金流按照稳定的增长率(g)永续增长。此时,

式中,假设预测期共有n期,TV为预测期末的终值,为预测期最后一期无杠杆自由现金流,g为永续增长率,为加权平均资本成本。

(4)预测企业价值

企业价值等于预测期内现金流量的折现值之和,加上终值的现值,无杠杆自由现金流折现估算企业价值模型的一般形式为:

以Gordon永续增长模型估算终值的企业价值预测公式为:

式中,EV为企业价值,TV为预测期末的终值,n为确定的预测期,为确定预测期内第t年无杠杆自由现金流量,g为永续增长率,为加权平均资本成本。